Online Database of Chemicals from Around the World

7-(2,3-Epoxypropoxy)Actinomycin D
[CAS# 82830-18-0]

Suppliers
CAS#: 82830-18-0
Product: 7-(2,3-Epoxypropoxy)Actinomycin D
No suppilers available for the product.
Identification
Name 7-(2,3-Epoxypropoxy)Actinomycin D
Synonyms 2-Amino-N,N'-Bis(3,10-Diisopropyl-7,11,14-Trimethyl-2,5,9,12,15-Pentaoxo-8-Oxa-1,4,11,14-Tetrazabicyclo[14.3.0]Nonadecan-6-Yl)-4,6-Dimethyl-7-(Oxiran-2-Ylmethoxy)-3-Oxo-Phenoxazine-1,9-Dicarboxamide; 2-Amino-N,N'-Bis(3,10-Diisopropyl-7,11,14-Trimethyl-2,5,9,12,15-Pentaoxo-8-Oxa-1,4,11,14-Tetrazabicyclo[14.3.0]Nonadecan-6-Yl)-4,6-Dimethyl-7-(2-Oxiranylmethoxy)-3-Oxophenoxazine-1,9-Dicarboxamide; 2-Amino-N,N'-Bis(3,10-Diisopropyl-2,5,9,12,15-Pentaketo-7,11,14-Trimethyl-8-Oxa-1,4,11,14-Tetrazabicyclo[14.3.0]Nonadecan-6-Yl)-7-Glycidoxy-3-Keto-4,6-Dimethyl-Phenoxazine-1,9-Dicarboxamide
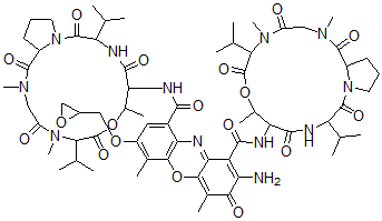
Molecular Structure CAS#: 82830-18-0, 7-(2,3-Epoxypropoxy)Actinomycin D
Molecular Formula C65H90N12O18
Molecular Weight 1327.50
CAS Registry Number 82830-18-0
SMILES C5=C(C2=C(OC1=C(C(=O)C(=C(C1=N2)C(=O)NC3C(=O)NC(C(=O)N4C(C(=O)N(CC(=O)N(C(C(OC3C)=O)C(C)C)C)C)CCC4)C(C)C)N)C)C(=C5OCC6OC6)C)C(=O)NC7C(=O)NC(C(=O)N8C(C(=O)N(CC(=O)N(C(C(OC7C)=O)C(C)C)C)C)CCC8)C(C)C
InChI 1S/C65H90N12O18/c1-28(2)45-62(87)76-21-17-19-38(76)60(85)72(13)24-41(78)74(15)51(30(5)6)64(89)93-34(11)47(58(83)68-45)70-56(81)37-23-40(92-27-36-26-91-36)32(9)54-49(37)67-50-43(44(66)53(80)33(10)55(50)95-54)57(82)71-48-35(12)94-65(90)52(31(7)8)75(16)42(79)25-73(14)61(86)39-20-18-22-77(39)63(88)46(29(3)4)69-59(48)84/h23,28-31,34-36,38-39,45-48,51-52H,17-22,24-27,66H2,1-16H3,(H,68,83)(H,69,84)(H,70,81)(H,71,82)
InChIKey FLERDIDECREGNJ-UHFFFAOYSA-N
Properties
Density 1.454g/cm3 (Cal.)
Boiling point 1413.36°C at 760 mmHg (Cal.)
Flash point 808.571°C (Cal.)
Market Analysis Reports
List of Reports Available for 7-(2,3-Epoxypropoxy)Actinomycin D
Related Products
Ethyl 5-Methyl-2-Oxo-1H,3H-Imidazolin-4-...  Tricyclo[5.3.0.0(2.6)]Deca-1(7)-Ene  3-[O-(Hexadecyloxy)Phenyl]-3-Oxo-N-(4-Ph...  3-[[(E)-2-Acetamidovinyl]thio]-6-isoprop...  2-(Acetylamino)-2-Deoxy-L-Galacturonic A...  Dolaconine  4'-Bromo-2,3,4,5-Tetrachloro-1,1'-Biphen...  1beta-Methyl-1-Phenylcyclohexane  2,4-Dihydroxy-5-(3-(2-Hydroxyphenyl)-1-O...  5-(3-(3-Carboxy-4-Hydroxyphenyl)-1-Oxo-2...  3,4-Bis(3',3'-Dimethoxyphenyl)-3-Hexene  (E)-1-(5-Bromo-2,4-Dihydroxy-Phenyl)-3-(...  N,N-Diethyl-1-[1-(Ethyl-Nitroso-Amino)Et...  N,N-Diethyl-1-(1-Nitrosopyrrolidin-2-Yl)...  Leukotriene D-4 Sulfone