Online Database of Chemicals from Around the World

4-(3,3-二甲基双环[2.2.1]庚-2-基)-2-乙基-1-丁醇
[CAS# 85392-40-1]

供应商
CAS#: 85392-40-1
产品: 4-(3,3-二甲基双环[2.2.1]庚-2-基)-2-乙基-1-丁醇
暂时没有厂家供应该产品。
基本信息
产品名称 4-(3,3-二甲基双环[2.2.1]庚-2-基)-2-乙基-1-丁醇
英文名 4-(3,3-Dimethylbicyclo[2.2.1]hept-2-yl)-2-ethyl-1-butanol
别名 β-ethyl-3,3-dimethylbicyclo[2.2.1]heptane-2-butanol
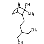
分子结构 CAS 登录号:85392-40-1, 4-(3,3-二甲基双环[2.2.1]庚-2-基)-2-乙基-1-丁醇
分子式 C15H28O
分子量 224.38
CAS 登录号 85392-40-1
EINECS 登录号 286-899-2
分子行输入简码 SMILES CC2(C)C1CCC(C1)C2CCC(CC)CO
国际化学标识码 InChI 1S/C15H28O/c1-4-11(10-16)5-8-14-12-6-7-13(9-12)15(14,2)3/h11-14,16H,4-10H2,1-3H3
国际化学标识检索码 InChIKey HGECOPUKOWSQTP-UHFFFAOYSA-N
物理化学性质
密度 0.915g/cm3 (计算值)
沸点 285.79°C at 760 mmHg (计算值)
闪点 129.137°C (计算值)
市场分析报告
请浏览4-(3,3-二甲基双环[2.2.1]庚-2-基)-2-乙基-1-丁醇市场分析报告总目录
相关产品
4-(3,3-二甲基双环[2.2.1]庚-2-基)...  4-(3,3-二甲基双环[2.2.1]庚-2-基)...  1-(3,3-二甲基双环[2.2.1]庚-2-基)...  2,4-二氧代-戊酸丙基酯钠盐(1:1)  钾二氟(二羟基)硼酸酯(1-)  二[3,5-二({4-[(2-甲氧基乙基)(甲基)...  二{1,4-二乙基-5-[(1-乙基-2-苯基-1...  二[3-甲基-2-({4-[甲基(苯基)氨基]苯基...  二{5-[(4-{[2-(4-氯苯基)乙基](甲基...  铅(2+)二[(2S)-2-吡咯烷羧酸酯]  铅(2+)二(2-吡咯烷羧酸酯)  环戊二烯并[d]咪唑-2,5(1H,3H)-二硫酮  1,3-二氢环戊烯并[d]咪唑-2,4-二硫酮  {10-[4-(2-萘基)苯基]-9-蒽基}硼酸  4-(苄氧基)-3-氯苯甲腈