Online Database of Chemicals from Around the World

甲基1-(2-氰基乙基)-2-氮丙啶羧酸酯
[CAS# 86649-90-3]

供应商
深圳爱拓化学有限公司 中国 询价快递  
+86 13417589054//+86 13424336463
info@atomaxchem.com,atomax.chemicals@gmail.com,
QQ 交流
化学品生产商
基本信息
产品名称 甲基1-(2-氰基乙基)-2-氮丙啶羧酸酯
英文名 Methyl 1-(2-cyanoethyl)-2-aziridinecarboxylate
别名 methyl 1-(2-cyanoethyl)aziridine-2-carboxylate
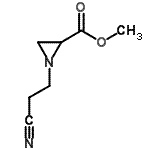
分子结构 CAS 登录号:86649-90-3, 甲基1-(2-氰基乙基)-2-氮丙啶羧酸酯
分子式 C7H10N2O2
分子量 154.17
CAS 登录号 86649-90-3
分子行输入简码 SMILES O=C(OC)C1CN1CCC#N
国际化学标识码 InChI 1S/C7H10N2O2/c1-11-7(10)6-5-9(6)4-2-3-8/h6H,2,4-5H2,1H3
国际化学标识检索码 InChIKey JPGPKRARPJJMQP-UHFFFAOYSA-N
物理化学性质
密度 1.192g/cm3 (计算值)
沸点 259.161°C at 760 mmHg (计算值)
闪点 110.537°C (计算值)
市场分析报告
请浏览甲基1-(2-氰基乙基)-2-氮丙啶羧酸酯市场分析报告总目录
相关产品
(5E)-3-(苯胺基甲基)-5-[(2E)-3-...  (5E)-3-{[(4-甲基苯基)氨基]甲基}-5...  (5E)-3-{[(4-甲氧基苯基)氨基]甲基}-...  (5E)-3-{[(4-氯苯基)氨基]甲基}-5-...  (5E)-3-{[(4-溴苯基)氨基]甲基}-5-...  (5E)-3-{[(4-硝基苯基)氨基]甲基}-5...  4-[({(5E)-4-氧代-5-[(2E)-3-...  (5E)-3-(4-吗啉基甲基)-5-[(2E)-...  (5E)-3-[(4-甲基-1-哌嗪基)甲基]-5...  (5E)-3-{[4-(4-氯苯基)-1-哌嗪基]...  (5E)-5-[(2E)-3-苯基-2-丙烯-1-...  (5E)-3-{[二(2-羟基乙基)氨基]甲基}-...  甲基8-乙基-2-甲氧基-5-氧代-5,8-二氢吡...  甲基7,9-二乙酰氧基-4-({4-O-[3-O-...  甲基7-乙酰氧基-4-({4-O-[3-O-乙酰基...