基本信息
| 产品名称 |
替考拉宁 A2-1 |
| 英文名 |
Teicoplanin A2-1 |
| 别名 |
(Z)-34-O-(2-(Acetylamino)-2-Deoxy-Beta-D-Glucopyranosyl)-22,31-Dichloro-7-Demethyl-64-O-Demethyl-19-Deoxy-56-O-(2-Deoxy-2-((1-Oxo-4-Decenyl)Amino)-Beta-D-Glucopyranosyl)42-O-Alpha-D-Mannopyranosylristomycin A Aglycone; Brn 6261779; Teichomycin A(Sub 2) Fact |
|
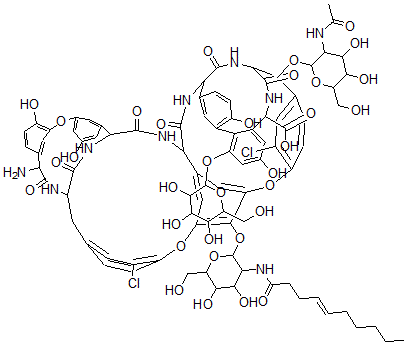
| 分子结构 |
 |
| 分子式 |
C88H95Cl2N9O33 |
| 分子量 |
1877.67 |
| CAS 登录号 |
91032-34-7 |
| 分子行输入简码 SMILES |
[C@@H]2(C%13=C(C1=C(C=CC(=C1)[C@@H]8C(N[C@H](C(N2)=O)[C@@H](C3=CC(=C(C=C3)OC4=CC7=CC(=C4O[C@@H]5O[C@@H]([C@H]([C@@H]([C@H]5NC(CC\C=C/CCCCC)=O)O)O)CO)OC6=CC=C(C=C6Cl)C[C@@H]%11C(N[C@H](C(N[C@H]7C(N8)=O)=O)C9=CC(=CC(=C9)OC%10=C(C=CC(=C%10)[C@@H](C(N%11)=O)N |
| 国际化学标识码 InChI |
1S/C88H95Cl2N9O33/c1-3-4-5-6-7-8-9-10-60(108)94-68-74(113)71(110)58(32-101)129-87(68)132-78-55-26-40-27-56(78)126-52-18-14-38(24-47(52)90)77(131-86-67(92-34(2)103)73(112)70(109)57(31-100)128-86)69-84(121)98-66(85(122)123)45-29-42(105)30-54(127-88-76(115)7 |
| 国际化学标识检索码 InChIKey |
YMWQIYMUNZBOOV-DOZYEWNNSA-N |
|