基本信息
| 产品名称 |
二(2,4-二叔-丁基苯氧基)-(4-苯基苯基)膦 |
| 英文名 |
bis(2,4-ditert-butylphenoxy)-(4-phenylphenyl)phosphane |
| 别名 |
bis(2,4-di-tert-butylphenyl) [1,1-biphenyl]-4-ylphosphonite |
|
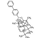
| 分子结构 |
 |
| 分子式 |
C40H51O2P |
| 分子量 |
594.81 |
| CAS 登录号 |
91362-37-7 |
| EINECS 登录号 |
293-828-9 |
| 分子行输入简码 SMILES |
CC(C)(C)c4ccc(OP(Oc1ccc(cc1C(C)(C)C)C(C)(C)C)c2ccc(cc2)c3ccccc3)c(c4)C(C)(C)C |
| 国际化学标识码 InChI |
1S/C40H51O2P/c1-37(2,3)30-20-24-35(33(26-30)39(7,8)9)41-43(32-22-18-29(19-23-32)28-16-14-13-15-17-28)42-36-25-21-31(38(4,5)6)27-34(36)40(10,11)12/h13-27H,1-12H3 |
| 国际化学标识检索码 InChIKey |
PKNOHCARANUOTJ-UHFFFAOYSA-N |
|