Online Database of Chemicals from Around the World

甲基 O-(3-脱氧-3-氟吡喃半乳糖基)(1-6)吡喃半乳糖苷
[CAS# 93426-89-2]

供应商
CAS#: 93426-89-2
产品: 甲基 O-(3-脱氧-3-氟吡喃半乳糖基)(1-6)吡喃半乳糖苷
暂时没有厂家供应该产品。
基本信息
产品名称 甲基 O-(3-脱氧-3-氟吡喃半乳糖基)(1-6)吡喃半乳糖苷
英文名 Methyl O-(3-Deoxy-3-Fluorogalactopyranosyl)(1-6)Galactopyranoside
别名 (2R,3R,4S,5R,6R)-2-[[(2R,3S,4S,5S,6R)-4-Fluoro-3,5-Dihydroxy-6-(Hydroxymethyl)Tetrahydropyran-2-Yl]Oxymethyl]-6-Methoxy-Tetrahydropyran-3,4,5-Triol; (2R,3R,4S,5R,6R)-2-[[(2R,3S,4S,5S,6R)-4-Fluoro-3,5-Dihydroxy-6-(Hydroxymethyl)-2-Tetrahydropyranyl]Oxymethy
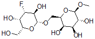
分子结构 CAS 登录号:93426-89-2, 甲基 O-(3-脱氧-3-氟吡喃半乳糖基)(1-6)吡喃半乳糖苷
分子式 C13H23FO10
分子量 358.32
CAS 登录号 93426-89-2
分子行输入简码 SMILES [C@H]1(O[C@@H]([C@H](O)[C@H](F)[C@H]1O)CO)OC[C@H]2O[C@@H](OC)[C@H](O)[C@@H](O)[C@H]2O
国际化学标识码 InChI 1S/C13H23FO10/c1-21-12-11(20)10(19)8(17)5(24-12)3-22-13-9(18)6(14)7(16)4(2-15)23-13/h4-13,15-20H,2-3H2,1H3/t4-,5-,6+,7+,8+,9-,10+,11-,12-,13-/m1/s1
国际化学标识检索码 InChIKey NJFLCQBZFZJEIT-BHMAHVOGSA-N
物理化学性质
密度 1.584g/cm3 (计算值)
沸点 641.88°C at 760 mmHg (计算值)
闪点 264.178°C (计算值)
市场分析报告
请浏览甲基 O-(3-脱氧-3-氟吡喃半乳糖基)(1-6)吡喃半乳糖苷市场分析报告总目录
相关产品
4,5-二戊-4-烯氧基咪唑烷-2-酮  8-甲基-1H-嘌呤  2-[(4-甲基苯基)硫]茚满  2-萘基乳酸酯  3-[[(E)-4-(5-硝基-2-呋喃基)丁-3...  1-(2-苯基-2-羟基亚氨基乙基)-1-(4-甲...  1-(2-苯基-2-羟基亚氨基乙基)-1-(6-甲...  1-乙基-3-甲基-5-[(1-甲基-2-吡咯烷亚...  N-(4-氨基磺酰基苯基)维甲酰胺  双(N,N-二烯丙基-2-丙氨酰-5-亮氨酸-脑啡...  黄蝉花素  苯磺酸钙  三甲基苯基锡  吡喃半乳糖基(1-4)乙酰基葡萄糖胺基(1-3)乙...  维拉烟肼