基本信息
| 产品名称 |
缩胆囊素 22 C-封端片段 |
| 英文名 |
Cholecystokinin 22 C-Terminal Fragment |
| 别名 |
Cck-22 C-Terminal Fragment; Cholecystokinin 22 C-Terminal Fragment; Cholecystokinin-22 C-Terminal Fragment |
|
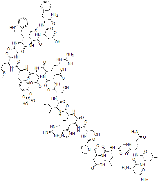
| 分子结构 |
 |
| 分子式 |
C115H170N34O38S3 |
| 分子量 |
2732.99 |
| CAS 登录号 |
95690-77-0 |
| 分子行输入简码 SMILES |
[C@@H](NC(=O)[C@H](CC(C)C)NC(=O)[C@H](CC(=O)N)N)(C(NCC(N[C@H](C(N[C@H](C(N1[C@@H](CCC1)C(N[C@H](C(N[C@H](C(N[C@@H](CCCNC(N)=N)C(N[C@H](C(=O)N[C@@H](CO)C(N[C@@H](CC(=O)O)C(N[C@@H](CCCNC(N)=N)C(N[C@H](C(N[C@@H](CC2=CC=C(C=C2)O[S](O)(=O)=O)C(N[C@H](C(NCC(N[C |
| 国际化学标识码 InChI |
1S/C115H170N34O38S3/c1-9-58(6)93(148-100(170)68(23-16-34-126-115(122)123)134-105(175)77(43-62-50-124-55-130-62)141-109(179)82(53-150)146-111(181)84-24-17-35-149(84)113(183)81(48-92(162)163)145-101(171)73(38-56(2)3)131-87(154)51-128-96(166)69(29-30-85(117) |
| 国际化学标识检索码 InChIKey |
IWZOWZRQLJAOGS-KLTSADKFSA-N |
|