Online Database of Chemicals from Around the World

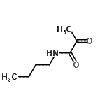
N-丁基-2-氧代丙酰胺
[CAS# 98435-83-7]

供应商
深圳爱拓化学有限公司 中国 询价快递  
+86 13417589054//+86 13424336463
info@atomaxchem.com,atomax.chemicals@gmail.com,
QQ 交流
化学品生产商
Otava Ltd. 乌克兰 询价快递  
+380 (44) 522-2458
order@otavachemicals.com
化学品生产商(1997 年起)
基本信息
产品名称 N-丁基-2-氧代丙酰胺
英文名 N-Butyl-2-oxopropanamide
别名 N-butyl-2-oxopropanamide
分子结构 CAS 登录号:98435-83-7, N-丁基-2-氧代丙酰胺
分子式 C7H13NO2
分子量 143.18
CAS 登录号 98435-83-7
分子行输入简码 SMILES O=C(C)C(=O)NCCCC
国际化学标识码 InChI 1S/C7H13NO2/c1-3-4-5-8-7(10)6(2)9/h3-5H2,1-2H3,(H,8,10)
国际化学标识检索码 InChIKey XHRVIJZMIOHWHM-UHFFFAOYSA-N
物理化学性质
密度 0.973g/cm3 (计算值)
市场分析报告
请浏览N-丁基-2-氧代丙酰胺市场分析报告总目录
相关产品
2,3-二乙基-2-环氧乙烷甲酰胺  2-乙烯基异烟腈  2-甲基-6-亚硝基-1,3-苯并噻唑  2-甲基-1H-苯并咪唑-4,7-二酮  6-氨基-1,2,4-苯并三嗪-3-羧酸  2-溴-5-羟基-4-甲氧基苯甲酸  5-溴-2,4-二羟基苯甲酸甲酯  1-[2-氨基-5-(4-吗啉基)苯基]乙酮  2,4-二氟-5-甲氧基苯胺  N-(4-氯-3-甲氧基苯基)乙酰胺  1-[(1E)-1,3-丁二烯-1-基]-3-氟苯  5-溴-N-甲基-2-噻吩甲酰胺  (4S)-3-亚硝基-1,3-噻唑烷-4-羧酸  N-[4-(苄氧基)环己基]-5-氯戊烷酰胺  1-[4-(苄氧基)环己基]-5-(4-氯丁基)-...