Online Database of Chemicals from Around the World

[R-(R*,S*)]-N-[2-羟基-1-(羟基甲基)-3-十七碳烯基]二十四烷酰胺
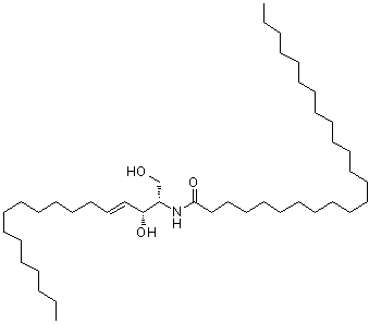
[CAS# 102917-80-6]

基本信息
英文名 [R-(R*,S*)]-N-[2-Hydroxy-1-(hydroxymethyl)-3-heptadecenyl]-tetracosanamide
产品名称 [R-(R*,S*)]-N-[2-羟基-1-(羟基甲基)-3-十七碳烯基]二十四烷酰胺
分子结构 CAS 登录号:102917-80-6, [R-(R*,S*)]-N-[2-羟基-1-(羟基甲基)-3-十七碳烯基]二十四烷酰胺
分子式 C42H83NO3
分子量 650.11
CAS 登录号 102917-80-6
物理化学性质
溶解度 不溶 (9.8e-8 g/L) (25 ºC), 计算值*
密度 0.906±0.06 g/cm3 (20 ºC 760 torr), 计算值*
* 使用计算软件 Advanced Chemistry Development (ACD/Labs) V11.02 (©1994-2016 ACD/Labs)
市场分析报告
请浏览[R-(R*,S*)]-N-[2-羟基-1-(羟基甲基)-3-十七碳烯基]二十四烷酰胺市场分析报告总目录
相关产品
6-羟基-8-[(1R)-1-羟基-2-[[2-(4-甲氧基苯基)-1,1-二甲基乙基]氨基]乙基]-2H-1,4-苯并恶嗪-3(4H)-酮  5-羟基-1-(4-羟基-3-甲氧基苯基)-3-十二酮  6-羟基-4-(4-羟基-3-甲氧基苯基)-3-羟基甲基-7-甲氧基-3,4-二氢-2-萘甲醛  1-羟基-1-(4-羟基-2-甲氧基苯基)-3-(4-羟基苯基)-2-丙酮  N-[2-羟基-5-[1-羟基-2-[[1-[(4-甲氧基苯基)甲基-d2]乙基-1,2,2,2-d4]氨基]乙基]苯基]甲酰胺  N-[2-羟基-5-[1-羟基-2-[[2-(4-甲氧基苯基)-1-甲基乙基]氨基]乙基]苯基]-甲酰胺  5-羟基-7-(4"-羟基-3"-甲氧基苯基)-1-苯基-3-庚酮  5-羟基-1-(4-羟基-3-甲氧基苯基)-3-十四酮  2-羟基-5-(羟基甲基)苯甲醛  (5Z)-N-[2-羟基-1-(羟基甲基)乙基]-7-[(1R,2R,3R)-3-羟基-2-[(1E,3S)-3-羟基-5-苯基-1-戊烯-1-基]-5-氧代环戊基]-5-庚烯酰胺  4-羟基-3-(羟基甲基)-1H-吲哚-1-羧酸叔丁酯  6-羟基-2-(羟基甲基)-2-甲基-2H-萘并[1,2-b]吡喃-5-羧酸甲酯  (2R)-2-羟基-3-(羟甲基)-3-甲基-N-(3-氧代-4-苯基丁基)丁酰胺  ((1R,2R)-2-羟基-1-羟甲基-2-苯基乙基)氨基甲酸叔丁酯  4-羟基-6-(羟基甲基)-5-(苯基甲氧基)-3-吡啶羧酸  N-[2-[4-羟基-3-(羟基甲基)苯基]-2-氧代乙基]氨基甲酸叔丁酯  rel-2-羟基-5-[(1R)-1-羟基-2-[[(1S)-1-甲基-3-苯基丙基]氨基]乙基]苯甲酰胺  (R*,S*)-2-羟基-5-[1-羟基-2-[(1-甲基-3-苯基丙基)氨基]乙基]苯甲酰胺单盐酸盐  2-羟基-1-[4-[4-(2-羟基-2-甲基丙酰基)苯氧基]苯基]-2-甲基丙酮  [(1R,2S)-2-羟基-1-(羟基甲基)丙基]氨基甲酸芴甲基酯