Online Database of Chemicals from Around the World

Coenzyme A S-(hydrogen 3-hydroxy-3-methyl pentanedioate) disodium salt
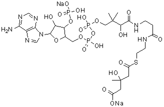
[CAS# 103476-21-7]

List of Suppliers
BOC Sciences USA Inquire  
+1 (631) 485-4226
info@bocsci.com
Chemical manufacturer
chemBlink standard supplier since 2010
CarboMer, Inc. USA Inquire  
+1 (858) 552-0992
sales@carbomer.com
Chemical manufacturer
Complete supplier list of Coenzyme A S-(hydrogen 3-hydroxy-3-methyl pentanedioate) disodium salt
Identification
Name Coenzyme A S-(hydrogen 3-hydroxy-3-methyl pentanedioate) disodium salt
Molecular Structure CAS # 103476-21-7, Coenzyme A S-(hydrogen 3-hydroxy-3-methyl pentanedioate) disodium salt
Molecular Formula C27H42N7O20P3S.2Na
Molecular Weight 955.62
CAS Registry Number 103476-21-7
Market Analysis Reports
List of Reports Available for Coenzyme A S-(hydrogen 3-hydroxy-3-methyl pentanedioate) disodium salt
Related Products
Co β-Cyanocobalamin-c-monocarboxylic Acid  Codaphniphylline  Codehydrase II, reduced, compd. with cyclohexanamine (1:4)  Codeine beta-D-glucuronide triacetate methyl ester  Cod liver oil  Coelenteramine  Coelenterazine cp  Coelenterazine H  Coelonin  Coenzyme A  Coenzyme M  Coenzyme A sodium salt hydrate  Coenzyme A S-tetradecanoate lithium salt  Coixol  Colchicine  Colesevelam hydrochloride  Colestilan  Colestipol hydrochloride  Colistin sulfate  Colistin-1,3,5,9-tetramethanesulfonic B acid