Online Database of Chemicals from Around the World

N-[(1,1-Dimethylethoxy)carbonyl]-L-leucyl-L-arginyl-N-(4-methyl-2-oxo-2H-1-benzopyran-7-yl)-L-argininamide
[CAS# 109358-46-5]

List of Suppliers
Creative Peptides USA Inquire  
+1 (631) 624-4882
info@creative-peptides.com
Chemical manufacturer
chemBlink standard supplier since 2010
Leap Chem Co., Ltd. China Inquire  
+86 (852) 3060-6658
market19@leapchem.com
QQ chat
Chemical manufacturer since 2006
chemBlink standard supplier since 2015
Complete supplier list of N-[(1,1-Dimethylethoxy)carbonyl]-L-leucyl-L-arginyl-N-(4-methyl-2-oxo-2H-1-benzopyran-7-yl)-L-argininamide
Identification
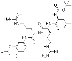
Name N-[(1,1-Dimethylethoxy)carbonyl]-L-leucyl-L-arginyl-N-(4-methyl-2-oxo-2H-1-benzopyran-7-yl)-L-argininamide
Molecular Structure CAS # 109358-46-5, N-[(1,1-Dimethylethoxy)carbonyl]-L-leucyl-L-arginyl-N-(4-methyl-2-oxo-2H-1-benzopyran-7-yl)-L-argininamide
Molecular Formula C33H52N10O7
Molecular Weight 700.83
CAS Registry Number 109358-46-5
Properties
Solubility Insoluble (9.8E-3 g/L) (25 ºC), Calc.*
Density 1.34±0.1 g/cm3 (20 ºC 760 Torr), Calc.*
* Calculated using Advanced Chemistry Development (ACD/Labs) Software V11.02 (©1994-2016 ACD/Labs)
Market Analysis Reports
List of Reports Available for N-[(1,1-Dimethylethoxy)carbonyl]-L-leucyl-L-arginyl-N-(4-methyl-2-oxo-2H-1-benzopyran-7-yl)-L-argininamide
Related Products
N-[(1,1-Dimethylethoxy)carbonyl]-N-methyl-D-tyrosine  N-[(1,1-Dimethylethoxy)carbonyl]-3-methylvaline  N-[(1,1-Dimethylethoxy)carbonyl]-3-[(2-nitrophenyl)amino]-D-alanine  N-[(1,1-Dimethylethoxy)carbonyl]-N'-[[(4-nitrophenyl)methoxy]carbonyl]-L-lysine  N2-[(1,1-Dimethylethoxy)carbonyl]-N6-[(2-nitrophenyl)sulfonyl]-L-lysine  N6-[(1,1-Dimethylethoxy)carbonyl]-N2-[(2-nitrophenyl)thio]-L-lysine compd. with N-cyclohexylcyclohexanamine (1:1)  N-[(1,1-Dimethylethoxy)carbonyl]-3-[(3-nitro-2-pyridinyl)dithio]-L-valine  N-[(1,1-Dimethylethoxy)carbonyl]-3-[(3-nitro-2-pyridinyl)dithio]-D-valine  N2-[(1,1-Dimethylethoxy)carbonyl]-D-ornithine  N-[(1,1-Dimethylethoxy)carbonyl]-D-leucine monohydrate  N-[(1,1-Dimethylethoxy)carbonyl]-L-leucylglycine  N-[(1,1-Dimethylethoxy)carbonyl]-L-leucylglycyl-N-(4-nitrophenyl)-L-argininamide monohydrochloride  N6-[(1,1-Dimethylethoxy)carbonyl]-D-lysine methyl ester monohydrochloride  N6-[(1,1-Dimethylethoxy)carbonyl]-L-lysine phenylmethyl ester monohydrochloride  N-[(1,1-Dimethylethoxy)carbonyl]-D-methionine 2,5-dioxo-1-pyrrolidinyl ester  1-[[N-[N-[(1,1-Dimethylethoxy)carbonyl]-L-methionyl]glycyl]oxy]-2,5-pyrrolidinedione  N-[(1,1-Dimethylethoxy)carbonyl]-N-methoxy-beta-alanine  (alphaR,betaR,2S)-1-[(1,1-Dimethylethoxy)carbonyl]-beta-methoxy-alpha-methyl-2-pyrrolidinepropanoic acid  4-[[(1,1-Dimethylethoxy)carbonyl](2-methoxy-2-oxoethyl)amino]butanoic acid methyl ester  N-[(1,1-Dimethylethoxy)carbonyl]-N-methyl-O-acetyl-L-tyrosine dicyclohexylammonium salt