Online Database of Chemicals from Around the World

Eusynthomycin
[CAS# 16255-48-4]

List of Suppliers
Shanghai Hohance Chemical Co., Ltd. China Inquire  
+86 (21) 3111-5312
info@hohance.com
Chemical manufacturer
chemBlink standard supplier since 2011
Medilink Pharmachem India Inquire  
+91 (79) 3007-0133
exports@medilinkpharma.com
Chemical distributor since 1996
chemBlink standard supplier since 2014
Leawell International Limited Hong Kong Inquire  
+852 2576-0298
enquiry@leawell.com.hk
Chemical distributor
Aronis Russia Inquire  
+7 (926) 578-0336
rakishev@aronis.ru
Chemical manufacturer
Complete supplier list of Eusynthomycin
Identification
Classification API >> Antibiotics
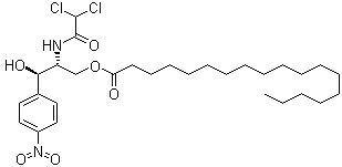
Name Eusynthomycin
Synonyms Levomycetin stearate; Chloroamphenicol stearate; [(2R,3R)-2-[(2,2-Dichloroacetyl)amino]-3-hydroxy-3-(4-nitrophenyl)propyl] octadecanoate
Molecular Structure CAS # 16255-48-4, Eusynthomycin, Levomycetin stearate, Chloroamphenicol stearate, [(2R,3R)-2-[(2,2-Dichloroacetyl)amino]-3-hydroxy-3-(4-nitrophenyl)propyl] octadecanoate
Molecular Formula C29H46Cl2N2O6
Molecular Weight 589.59
CAS Registry Number 16255-48-4
EC Number 240-363-4
Safety Data
Hazard Classification
up    Details
HazardClassCategory CodeHazard Statement
CarcinogenicityCarc.2H351
SDS Available
Market Analysis Reports
List of Reports Available for Eusynthomycin
Related Products
Europium trichloride hexahydrate  Europium(III) trifluoromethanesulfonate  Europium tris(acetylacetonate)  Europium tris(2,2,6,6-tetramethyl-3,5-heptanedionate)  Eurycarpin A  Eurycarpin B  Eurycomalactone  Eurycomanone  Euscaphic acid  Euscaphin B  Eugenyl acetate  Eugenyl benzoate  EUK-189  EUK 207  Eulissin A  Euojaponine D  Euonymin  Eupaglehnin C  Eupalinilide A  Eupalinilide B