Online Database of Chemicals from Around the World

beta-环糊精全苯甲酸酯
[CAS# 23666-43-5]

供应商目录
卡博森斯化学科技 (苏州) 有限公司 中国 询价快递  
+86 (512) 6260-5585
sales@carbosynth.com
QQ 交谈
化学品生产商 (2006年起)
chemBlink 标准供应商 (2016年起)
beta-环糊精全苯甲酸酯供应商总目录
基本信息
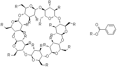
英文名 beta-Cyclodextrin perbenzoate
别名 Hepta-(2,3,6-tri-oxy-benzoyl)-beta-cyclodextrin; Heptakis(2,3,6-tri-O-benzoyl)-beta-cyclodextrin
产品名称 beta-环糊精全苯甲酸酯
分子结构 CAS 登录号:23666-43-5, beta-环糊精全苯甲酸酯
分子式 C189H154O56
分子量 3321.21
CAS 登录号 23666-43-5
市场分析报告
请浏览beta-环糊精全苯甲酸酯市场分析报告总目录
相关产品
beta-环糊精  beta-环糊精磷酸二氢酯钠盐  gamma-环糊精磷酸二氢酯钠盐  alpha-环糊精磷酸二氢酯钠盐  beta-环糊精-环氧氯丙烷共聚物  beta-环糊精水合物  alpha-环糊精硫酸钠盐水合物  beta-环糊精 2-羟基乙基醚  gamma-环糊精 2-羟基丙基醚  甲基倍他环糊精  beta-环糊精 6-对甲苯磺酸酯  甲烷二磺酸乙二醇环酯  环十二烷  1,4-环十二烷二醇  环十二醇  环十二酮  1,5,9-环十二烷三烯  (1Z,5E,9E)-环十二碳三烯  N-环十二烷基马来酰亚胺  3,5-环麦角甾烷-6,8(14),22-三烯