Online Database of Chemicals from Around the World

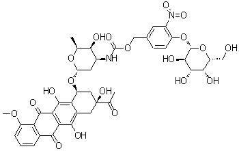
(8S,10S)-8-Acetyl-7,8,9,10-tetrahydro-6,8,11-trihydroxy-1-methoxy-10-[[2,3,6-trideoxy-3-[[[[4-(beta-D-galactopyranosyloxy)-3-nitrophenyl]methoxy]carbonyl]amino]-alpha-L-lyxo-hexopyranosyl]oxy]-5,12-naphthacenedione
[CAS# 290304-24-4]

List of Suppliers
CAS: 290304-24-4
Product: (8S,10S)-8-Acetyl-7,8,9,10-tetrahydro-6,8,11-trihydroxy-1-methoxy-10-[[2,3,6-trideoxy-3-[[[[4-(beta-D-galactopyranosyloxy)-3-nitrophenyl]methoxy]carbonyl]amino]-alpha-L-lyxo-hexopyranosyl]oxy]-5,12-naphthacenedione
No suppilers available.
Identification
Classification API >> Other chemicals
Name (8S,10S)-8-Acetyl-7,8,9,10-tetrahydro-6,8,11-trihydroxy-1-methoxy-10-[[2,3,6-trideoxy-3-[[[[4-(beta-D-galactopyranosyloxy)-3-nitrophenyl]methoxy]carbonyl]amino]-alpha-L-lyxo-hexopyranosyl]oxy]-5,12-naphthacenedione
Synonyms Daun 02
Molecular Structure CAS # 290304-24-4, (8S,10S)-8-Acetyl-7,8,9,10-tetrahydro-6,8,11-trihydroxy-1-methoxy-10-[[2,3,6-trideoxy-3-[[[[4-(beta-D-galactopyranosyloxy)-3-nitrophenyl]methoxy]carbonyl]amino]-alpha-L-lyxo-hexopyranosyl]oxy]-5,12-naphthacenedione, Daun 02
Molecular Formula C41H44N2O20
Molecular Weight 884.79
CAS Registry Number 290304-24-4
Properties
Solubility Insoluble (4.8E-5 g/L) (25 ºC), Calc.*
Density 1.67±0.1 g/cm3 (20 ºC 760 Torr), Calc.*
* Calculated using Advanced Chemistry Development (ACD/Labs) Software V11.02 (©1994-2014 ACD/Labs)
Market Analysis Reports
List of Reports Available for (8S,10S)-8-Acetyl-7,8,9,10-tetrahydro-6,8,11-trihydroxy-1-methoxy-10-[[2,3,6-trideoxy-3-[[[[4-(beta-D-galactopyranosyloxy)-3-nitrophenyl]methoxy]carbonyl]amino]-alpha-L-lyxo-hexopyranosyl]oxy]-5,12-naphthacenedione
Related Products
5-Acetyltaxachitriene A  2'-Acetyltaxol  4-Acetyl-2,3,4,5-tetrahydro-1H-1,4-benzodiazepine  (R)-N-(2-Acetyl-1,2,3,4-tetrahydro-5,8-dimethoxy-2-naphthalenyl)acetamide  (2R,3aS,8aS)-8-Acetyl-3,3a,8,8a-tetrahydro-6-hydroxypyrrolo[2,3-b]indole-1,2(2H)-dicarboxylic acid 1,2-dimethyl ester  2-Acetyl-1,2,3,4-tetrahydroisoquinoline-3-carboxylic acid  2-Acetyl-1,2,3,4-tetrahydro-7-isoquinolinesulfonyl chloride  9-Acetyl-2,3,4,9-tetrahydro-1-methyl-1H-pyrido[2,3-b]indol-6-ol  2-Acetyl-1,4,5,6-tetrahydropyridine  (7S,9S)-9-Acetyl-7,8,9,10-tetrahydro-6,7,9,11-tetrahydroxy-5,12-naphthacenedione  N-Acetyl-3',5'-O-[1,1,3,3-tetrakis(1-methylethyl)-1,3-disiloxanediyl]adenosine  N-Acetyl-3',5'-O-[1,1,3,3-tetrakis(1-methylethyl)-1,3-disiloxanediyl]cytidine  3-Acetylthianaphthene  3-Acetylthianaphthene  2-Acetylthiazole  4-[6-(2-Acetyl-1H-pyrrol-1-yl)-2-pyridinyl]-1-piperazinecarboxylic acid tert-butyl ester  6-Acetylquinoline  3-Acetylquinoline  5-Acetylquinoline-2,8-diol  3-Acetyl-2(1H)-quinolinone