Online Database of Chemicals from Around the World

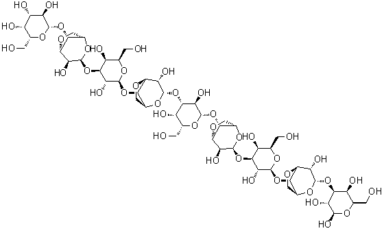
O-beta-D-Galactopyranosyl-(1→4)-O-3,6-anhydro-alpha-L-galactopyranosyl-(1→3)-O-beta-D-galactopyranosyl-(1→4)-O-3,6-anhydro-alpha-L-galactopyranosyl-(1→3)-O-beta-D-galactopyranosyl-(1→4)-O-3,6-anhydro-alpha-L-galactopyranosyl-(1→3)-O-beta-D-galactopyranosyl-(1→4)-O-3,6-anhydro-alpha-L-galactopyranosyl-(1→3)-beta-D-galactopyranose
[CAS# 852690-26-7]

Identification
Name O-beta-D-Galactopyranosyl-(1→4)-O-3,6-anhydro-alpha-L-galactopyranosyl-(1→3)-O-beta-D-galactopyranosyl-(1→4)-O-3,6-anhydro-alpha-L-galactopyranosyl-(1→3)-O-beta-D-galactopyranosyl-(1→4)-O-3,6-anhydro-alpha-L-galactopyranosyl-(1→3)-O-beta-D-galactopyranosyl-(1→4)-O-3,6-anhydro-alpha-L-galactopyranosyl-(1→3)-beta-D-galactopyranose
Molecular Structure CAS # 852690-26-7, O-beta-D-Galactopyranosyl-(1→4)-O-3,6-anhydro-alpha-L-galactopyranosyl-(1→3)-O-beta-D-galactopyranosyl-(1→4)-O-3,6-anhydro-alpha-L-galactopyranosyl-(1→3)-O-beta-D-galactopyranosyl-(1→4)-O-3,6-anhydro-alpha-L-galactopyranosyl-(1→3)-O-beta-D-galactopyranosyl-(1→4)-O-3,6-anhydro-alpha-L-galactopyranosyl-(1→3)-beta-D-galactopyranose
Molecular Formula C54H84O42
Molecular Weight 1405.22
CAS Registry Number 852690-26-7
Properties
Solubility Slightly soluble (3.7 g/L) (25 ºC), Calc.*
Density 1.87±0.1 g/cm3 (20 ºC 760 Torr), Calc.*
* Calculated using Advanced Chemistry Development (ACD/Labs) Software V11.02 (©1994-2016 ACD/Labs)
Market Analysis Reports
List of Reports Available for O-beta-D-Galactopyranosyl-(1→4)-O-3,6-anhydro-alpha-L-galactopyranosyl-(1→3)-O-beta-D-galactopyranosyl-(1→4)-O-3,6-anhydro-alpha-L-galactopyranosyl-(1→3)-O-beta-D-galactopyranosyl-(1→4)-O-3,6-anhydro-alpha-L-galactopyranosyl-(1→3)-O-beta-D-galactopyranosyl-(1→4)-O-3,6-anhydro-alpha-L-galactopyranosyl-(1→3)-beta-D-galactopyranose
Related Products
Galactose oxidase  beta-D-Galactose pentaacetate  alpha-Galactosidase  2-(beta-D-Galactosidoxy)naphthalene-3-carboxylic acid 2,5-dimethoxy-4-chloroanilide  N-[(1S,2R,3E)-1-[[[O-beta-D-Galactopyranosyl-(1→4)-O-2-(acetylamino)-2-deoxy-beta-D-glucopyranosyl-(1→3)-O-beta-D-galactopyranosyl-(1→4)-beta-D-glucopyranosyl]oxy]methyl]-2-hydroxy-3-heptadecen-1-yl]-octadecanamide  O-beta-D-Galactopyranosyl-(1→3)-O-2-(acetylamino)-2-deoxy-beta-D-glucopyranosyl-(1→2)-O-alpha-D-mannopyranosyl-(1→3)-O-[O-2-(acetylamino)-2-deoxy-beta-D-glucopyranosyl-(1→2)-alpha-D-mannopyranosyl-(1→6)]-O-beta-D-mannopyranosyl-(1→4)-O-2-(acetylamino)-2-deoxy-beta-D-glucopyranosyl-(1→4)-O-[6-deoxy-alpha-L-galactopyranosyl-(1→6)]-2-(acetylamino)-2-deoxy-D-glucose  D-Galactopyranosylamine  O-beta-D-Galactopyranosyl-(1→4)-O-3,6-anhydro-alpha-L-galactopyranosyl-(1→3)-beta-D-galactopyranose  O-beta-D-Galactopyranosyl-(1→4)-O-3,6-anhydro-alpha-L-galactopyranosyl-(1→3)-O-beta-D-galactopyranosyl-(1→4)-O-3,6-anhydro-alpha-L-galactopyranosyl-(1→3)-beta-D-galactopyranose  O-beta-D-Galactopyranosyl-(1→4)-O-3,6-anhydro-alpha-L-galactopyranosyl-(1→3)-O-beta-D-galactopyranosyl-(1→4)-O-3,6-anhydro-alpha-L-galactopyranosyl-(1→3)-O-beta-D-galactopyranosyl-(1→4)-O-3,6-anhydro-alpha-L-galactopyranosyl-(1→3)-beta-D-galactopyranose  6-O-alpha-D-Galactopyranosyl-D-fructose  3-O-(alpha-D-Galactopyranosyl)-2-O-(alpha-L-fucopyranosyl)-D-galactose  6-O-alpha-D-Galactopyranosyl-D-galactopyranose  alpha-D-Galactopyranosyl alpha-D-galactopyranoside  O-alpha-D-Galactopyranosyl-(1→3)-O-beta-D-galactopyranosyl-(1→4)-2-(acetylamino)-2-deoxy-beta-D-glucopyranose  O-alpha-D-Galactopyranosyl-(1→3)-O-beta-D-galactopyranosyl-(1→4)-O-2-(acetylamino)-2-deoxy-beta-D-glucopyranosyl-(1→3)-O-beta-D-galactopyranosyl-(1→4)-beta-D-glucopyranose  O-alpha-D-Galactopyranosyl-(1→3)-O-beta-D-galactopyranosyl-(1→4)-O-2-(acetylamino)-2-deoxy-beta-D-glucopyranosyl-(1→3)-O-beta-D-galactopyranosyl-(1→4)-D-glucose  O-beta-D-Galactopyranosyl-(1→3)-O-beta-D-galactopyranosyl-(1→4)-O-2-(acetylamino)-2-deoxy-beta-D-glucopyranosyl-(1→3)-O-beta-D-galactopyranosyl-(1→4)-D-glucose  O-alpha-D-Galactopyranosyl-(1→3)-O-beta-D-galactopyranosyl-(1→3)-2-(acetylamino)-2-deoxy-D-glucose  4-O-beta-D-Galactopyranosyl-D-gluconic acid calcium salt (2:1) dihydrate