Online Database of Chemicals from Around the World

Theonellapeptolide Ie
[CAS# 109767-22-8]

供应商
CAS#: 109767-22-8
产品: Theonellapeptolide Ie
暂时没有厂家供应该产品。
基本信息
产品名称 Theonellapeptolide Ie
英文名 Theonellapeptolide Ie
别名 (2R)-N-[(3R,6R,13S,16S,19R,29R,36S,37R)-6,29-Diisobutyl-16-Isopropyl-4,13,14,17,27,34,37-Heptamethyl-2,5,8,12,15,18,21,25,28,31,35-Undecaoxo-3,19,26-Trisec-Butyl-1-Oxa-4,7,11,14,17,20,24,27,30,34-Decazacycloheptatriacont-36-Yl]-2-[[(2S)-2-[(2-Methoxyacetyl)Amino]-3-Methyl-Butanoyl]-Methyl-Amino]-4-Methyl-Pentanamide; (2R)-N-[(3R,6R,13S,16S,19R,29R,36S,37R)-6,29-Diisobutyl-16-Isopropyl-4,13,14,17,27,34,37-Heptamethyl-2,5,8,12,15,18,21,25,28,31,35-Undecaoxo-3,19,26-Trisec-Butyl-1-Oxa-4,7,11,14,17,20,24,27,30,34-Decazacycloheptatriacont-36-Yl]-2-[[(2S)-2-[(2-Methoxy-1-Oxoethyl)Amino]-3-Methyl-1-Oxobutyl]-Methylamino]-4-Methylpentanamide; (2R)-N-[(3R,6R,13S,16S,19R,29R,36S,37R)-6,29-Diisobutyl-16-Isopropyl-2,5,8,12,15,18,21,25,28,31,35-Undecaketo-4,13,14,17,27,34,37-Heptamethyl-3,19,26-Trisec-Butyl-1-Oxa-4,7,11,14,17,20,24,27,30,34-Decazacycloheptatriacont-36-Yl]-2-[[(2S)-2-[(2-Methoxyacetyl)Amino]-3-Methyl-Butanoyl]-Methyl-Amino]-4-Methyl-Valeramide
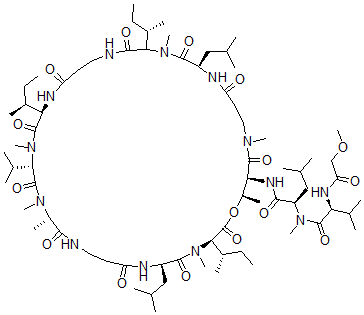
分子结构 CAS 登录号:109767-22-8, Theonellapeptolide Ie
分子式 C71H127N13O16
分子量 1418.86
CAS 登录号 109767-22-8
分子行输入简码 SMILES [C@@H]1(N(C(=O)[C@H](NC(=O)CCNC(=O)[C@@H](N(C(=O)[C@@H](N(C(=O)[C@H](NC(=O)CCNC(=O)C(N(C(=O)[C@H](NC(=O)CCN(C(=O)[C@@H](NC(=O)[C@H](N(C(=O)[C@@H](NC(=O)COC)C(C)C)C)CC(C)C)[C@H](OC1=O)C)C)CC(C)C)C)[C@H](CC)C)[C@H](CC)C)C)C(C)C)C)C)CC(C)C)C)[C@H](CC)C
国际化学标识码 InChI 1S/C71H127N13O16/c1-26-44(14)57-69(96)82(22)59(43(12)13)70(97)80(20)47(17)62(89)72-32-29-52(85)74-50(36-40(6)7)66(93)84(24)61(46(16)28-3)71(98)100-48(18)58(78-63(90)51(37-41(8)9)81(21)68(95)56(42(10)11)77-55(88)38-99-25)67(94)79(19)34-31-54(87)75-49(35-39(4)5)65(92)83(23)60(45(15)27-2)64(91)73-33-30-53(86)76-57/h39-51,56-61H,26-38H2,1-25H3,(H,72,89)(H,73,91)(H,74,85)(H,75,87)(H,76,86)(H,77,88)(H,78,90)/t44-,45-,46-,47-,48+,49+,50+,51+,56-,57+,58-,59-,60?,61+/m0/s1
国际化学标识检索码 InChIKey PAJSMVHANULECY-RVLLJQLFSA-N
物理化学性质
密度 1.2±0.1g/cm3 (计算值)
沸点 1462.6±65.0°C at 760 mmHg (计算值)
闪点 838.3±34.3°C (计算值)
市场分析报告
请浏览Theonellapeptolide Ie市场分析报告总目录
相关产品
N-苯基-4H-3,1-苯并噻嗪-2-胺  N-{(2S)-1-[(2-氨基-2-氧代乙基)氨...  (2S)-N-(2-氨基-2-氧代乙基)-4-甲基...  高箱鲀毒素  乳糖酰基鞘糖脂  人参萜醇B  N-(2,5-二氯苯基)-己氧基氨基磷酸  [4-[(E)-2-(8,8-二甲基-6,7-二氢...  (2S)-2-[[(2S)-2-氨基-4-甲基戊酰...  3-(3,6-二氢-2H-吡啶-1-鎓-4-基)-...  3-[1-(环丙基甲基)-3,6-二氢-2H-吡啶...  预处理-促甲状腺激素释放激素(53-74)  [(2S,3S,4R)-1,2,4-三羟基-5-氧...  3-硝基-N-十八烷基苯甲酰胺  N-[5-(4-氨基苯氧基)戊基]-2-甲氧基苯甲...